Publications

Chemical Synthesis and Antifibrotic Properties of Cochlearoloids

Chemical Synthesis and Antifibrotic Properties of (±)-Cochlearol T, (±)-Ganocochlearin A, and (±)-Cochlearol Y

Badrinath N. Kakde, Sung Wan An, Yaashmin Shiny Jebaraj, Sudha Neelam, Matthias T. F. Wolf, and Uttam K. Tambar

Stereoselective Total Synthesis of Rhodocoranes I and J

Stereoselective Total Synthesis of Rhodocoranes I and J

Cooper A. Vincent, Vaishnavi N. Nair, and Uttam K. Tambar

Metabolic inflexibility promotes mitochondrial health during liver regeneration

Metabolic inflexibility promotes mitochondrial health during liver regeneration

Xun Wang, Cameron J. Menezes, Yuemeng Jia, Yi Xiao, Siva Sai Krishna Venigalla, Feng Cai, Meng-Hsiung Hsieh, Wen Gu, Liming Du, Jessica Sudderth, Dohun Kim, Spencer D. Shelton, Claire B. Llamas, Yu-Hsuan Lin, Min Zhu, Salma Merchant, Divya Bezwada, Sherwin Kelekar, Lauren G. Zacharias, Thomas P. Mathews, Gerta Hoxhaj, R. Max Wynn, Uttam K. Tambar, Ralph J. DeBerardinis, Hao Zhu, and Prashant Mishra

Academic-Industrial Collaborations: Merging Paths to Thrive

Academic-Industrial Collaborations: Merging Paths to Thrive

Hongli Bao, Karla Bravo-Altamirano, Zachary Buchan, Pablo J. Cabrera, Sarah J. Ryan, Joshua J. Roth, Fernando Sartillo-Piscil, Yasuhiro Sawai, Uttam K. Tambar, and Cayetana Zarate

Hypoxia-driven heterogeneous expression of α5 integrin in glioblastoma stem cells is linked to HIF-2α

Hypoxia-driven heterogeneous expression of α5 integrin in glioblastoma stem cells is linked to HIF-2α

Mélissa Messé, Chloé Bernhard, Sophie Foppolo, Lionel Thomas, Patrice Marchand, Christel Herold-Mende, Ahmed Idbaih, Horst Kessler, Nelly Etienne-Selloum, Charles Ochoa, Uttam K. Tambar, Mohamed Elati, Patrice Laquerriere, Natacha Entz-Werle, Sophie Martin, Damien Reita, Monique Dontenwill

Copper-Catalyzed Regiodivergent Internal Allylic Alkylations

Copper-Catalyzed Regiodivergent Internal Allylic Alkylations

Madhu Sudan Manna, Seok Yeol Yoo, Mohammed Sharique, Hyoju Choi, Bimal Pudasaini, Mu-Hyun Baik, and Uttam K. Tambar

Photocatalytic conversion of aryl diazonium salts to sulfonyl fluorides

Photocatalytic conversion of aryl diazonium salts to sulfonyl fluorides

Cooper A. Vincent, Alexia Ripa, Ludovic Troian-Gautier, and Uttam K. Tambar

Photocatalytic Sulfonyl Fluorination of Alkyl Organoboron Substrates

Photocatalytic Sulfonyl Fluorination of Alkyl Organoboron Substrates

Cooper A. Vincent, Maria I. Chiriac, Ludovic Troian-Gautier, and Uttam K. Tambar

Catalytic photochemical enantioselective alkylation with pyridinium salts

Catalytic Photochemical Enantioselective α-Alkylation with Pyridinium Salts

Santhivardhana Reddy Yetra, Nathan Schmitt, and Uttam K. Tambar

Photosensitized activation of diazonium derivatives for C–B bond formation

Photosensitized activation of diazonium derivatives for C–B bond formation

Alexia Ripak, Simon De Kreijger, Renato N. Sampaio, Cooper A. Vincent, Émilie Cauët, Ivan Jabin, Uttam K. Tambar, Benjamin Elias, and Ludovic Troian-Gautier

Trihalo-sulfone Inhibitors of WNK1

Synthesis and Structural Characterization of Novel Trihalo-sulfone Inhibitors of WNK1

Melanie Rodriguez, Ashari Kannangara, Julita Chlebowicz, Radha Akella, Haixia He, Uttam K. Tambar, and Elizabeth J. Goldsmith

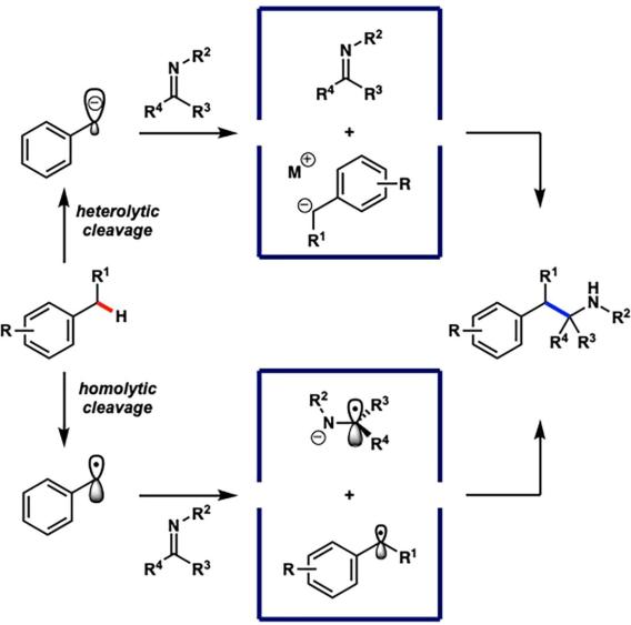
Synthesis of Amines via Coupling of Imines and Alkylarenes

Synthesis of Amines via Coupling of Imines and Alkylarenes

Vaishnavi N. Nair and Uttam. K. Tambar

Recent Total Syntheses of Anthraquinone-Based Natural Products

Recent Total Syntheses of Anthraquinone-Based Natural Products

Jackson A. Gartman and Uttam K. Tambar

Cycloadditions of Donor–Acceptor Cyclopropanes and -butanes

Catalytic Rearrangements of Onium Ylides in Aromatic Systems

Vaishnavi N. Nair and Uttam. K. Tambar

Catalytic Rearrangements of Onium Ylides in Aromatic Systems

Cycloadditions of Donor–Acceptor Cyclopropanes and -butanes using S=N-Containing Reagents: Access to Cyclic Sulfinamides, Sulfonamides, and Sulfinamidines

Gwyndaf A. Oliver, Maximilian N. Loch, André U. Augustin, Pit Steinbach, Mohammed Sharique, Uttam K. Tambar, Peter G. Jones, Christoph Bannwarth, and Daniel B. Werz

Synthesis of Cell-Permeable N-Acetylhexosamine-1-Phosphates

Badrinath N. Kakde, Emanuela Capota, Jennifer J. Kohler, and Uttam K. Tambar

Catalytic Rearrangements of Onium Ylides in Aromatic Systems

Synthetic Studies of the Rubellin Natural Products: Development of a Stereoselective Strategy and Total Synthesis of (+)-Rubellin C

Jackson A. Gartman and Uttam K. Tambar

Catalytic Rearrangements of Onium Ylides in Aromatic Systems

Catalyst-Controlled Regiodivergence in Rearrangements of Indole-Based Onium Ylides

Vaishnavi N. Nair, Volga Kojasoy, Croix J. Laconsay, Dean J. Tantillo, and Uttam K. Tambar

A trimethoprim derivative impedes antibiotic resistance evolution.

A Trimethoprim Derivative Impedes Antibiotic Resistance Evolution

Madhu Sudan Manna, Yusuf Talha Tamer, Ilona Gaszek, Nicole Poulides, Ayesha Ahmed, Xiaoyu Wang, Furkan C. R. Toprak, DaNae R. Woodard, Andrew Y. Koh, Noelle S. Williams, Dominika Borek, Ali Rana Atilgan, John D. Hulleman, Canan Atilgan, Uttam Tambar, and Erdal Toprak

N-Heterocyclic Carbene Catalyzed Benzannulations: Mechanism and Synthetic Utility

N-Heterocyclic Carbene Catalyzed Benzannulations: Mechanism and Synthetic Utility

Mohammed Sharique and Uttam K. Tambar

Total Synthesis of (+)-Rubellin C

Jackson A. Gartman and Uttam K. Tambar

N-Heterocyclic Carbene Based Catalytic Platform for Hauser-Kraus Annulations

N-Heterocyclic Carbene Based Catalytic Platform for Hauser-Kraus Annulations

Mohammed Sharique and Uttam K. Tambar

Photocatalyzed Diastereoselective Isomerization of Cinnamyl Chlorides to Cyclopropanes

Photocatalyzed Diastereoselective Isomerization of Cinnamyl Chlorides to Cyclopropanes

Bin Xu, Ludovic Troian-Gautier, Ryan Dykstra, Robert Martin, Osvaldo Gutierrez, and Uttam K. Tambar

Lactate production is a prioritized feature of adipocyte metabolism

Lactate Production is a Prioritized Feature of Adipocyte Metabolism

James R. Krycer, Lake-Ee Quek, Deanne Francis, Daniel J. Fazakerley, Sarah D. Elkington, Alexis Diaz-Vegas, Kristen C. Cooke, Fiona C. Weiss, Xiaowen Duan, Sergey Kurdyukov, Ping-Xin Zhou, Uttam K. Tambar, Akiyoshi Hirayama, Satsuki Ikeda, Yushi Kamei, Tomoyoshi Soga, Gregory J. Cooney, and David E. James

Synthesis of Amines by Rearrangement

Synthesis of Amines by Rearrangements (Updated Book Chapter)

Charles Ochoa and Uttam K. Tambar

Science of Synthesis 2020, 2, 315

Controllable, Sequential, and Stereoselective C-H Allylic Alkylation of Alkenes

Controllable, Sequential, and Stereoselective C-H Allylic Alkylation of Alkenes

Ling Qin, Mohammed Sharique, and Uttam K. Tambar

Remote Allylation of Unactivated C(sp3)-H Bonds Triggered by Photogenerated Amidyl Radicals

Remote Allylation of Unactivated C(sp3)-H Bonds Triggered by Photogenerated Amidyl Radicals

Bin Xu and Uttam K. Tambar

Development of the Vinylogous Pictet-Spengler Cyclization and Total Synthesis of (±)-Lundurine A

Development of the Vinylogous Pictet-Spengler Cyclization and Total Synthesis of (±)-Lundurine A

Aaron Nash, Xiangbing Qi, Pradip Maity, Kyle Owens, and Uttam K. Tambar

Total synthesis of sparstalonin B via a palladium-catalyzed aldehyde arylation

Total Synthesis of Sparstalonin B via a Palladium-Catalyzed Aldehyde α-Arylation

Dalton Kim, Aaron Nash, Jef De Brabander Jr., and Uttam K. Tambar

Catalytic allylic oxidation of internal alkenes to a multifunctional chiral building block

Catalytic Allylic Oxidation of Internal Alkenes to a Multifunctional Chiral Building Block

Liela Bayeh, Phong Q. Le, and Uttam K. Tambar

Copper-Catalyzed Enantioselective, Diastereoselective, and Regioselective [2,3]-Rearrangements of Iodonium Ylides

Copper-Catalyzed Enantioselective, Diastereoselective, and Regioselective [2,3]-Rearrangements of Iodonium Ylides

Bin Xu and Uttam K. Tambar

Copper-Catalyzed Aminothiolation of 1,3-Dienes via a Dihydrothiazine Intermediate

Copper-Catalyzed Aminothiolation of 1,3-Dienes via a Dihydrothiazine Intermediate

Christopher E. Sleet and Uttam K. Tambar

Catalytic Asymmetric Intermolecular Allylic Functionalization of Unactivated Internal Alkenes

Catalytic Asymmetric Intermolecular Allylic Functionalization of Unactivated Internal Alkenes

Liela Bayeh and Uttam K. Tambar

Brønsted acid catalyzed enantioselective pericyclic reactions

Brønsted Acid Catalyzed Enantioselective Pericyclic Reactions

Christopher E. Sleet, Uttam K. Tambar, and Pradip Maity

Copper-catalyzed [1,2]-rearrangements of allylic iodides and aryl diazoacetates

Copper-Catalyzed [1,2]-Rearrangements of Allylic Iodides and Aryl α-Diazoacetates

Bin Xu, Jackson A. Gartman, and Uttam K. Tambar

A new paradigm for GERD pathogenesis

A new paradigm for GERD pathogenesis. Not acid injury, but cytokine-mediated inflammation driven by HIF-2α: a potential role for targeting HIF-2α to prevent and treat reflux esophagitis

Rhonda F. Souza, Liela Bayeh, Stuart J. Spechler, Uttam K. Tambar and Richard K. Bruick

bruick_Gut_2017

Hypoxia-inducible factor-2α plays a role in mediating oesophagitis in GORD

Xiaofang Huo, Agoston T. Agoston, Kerry B. Dunbar, Daisha J. Cipher, Xi Zhang, Chunhua Yu, Edaire Cheng, Qiuyang Zhang, Thai H. Pham, Uttam K. Tambar, Richard K. Bruick, David H. Wang, Robert D. Odze, Stuart J. Spechler, Rhonda F. Souza

Ligand-Controlled Regiodivergence in the Copper-Catalyzed [2,3]- and [1,2]-Rearrangements of Iodonium Ylides

Ligand-Controlled Regiodivergence in the Copper-Catalyzed [2,3]- and [1,2]-Rearrangements of Iodonium Ylides

Bin Xu and Uttam K. Tambar

Isoform-Selective and Stereoselective Inhibition of Hypoxia Inducible Factor-2

Isoform-Selective and Stereoselective Inhibition of Hypoxia Inducible Factor-2

Thomas H. Scheuermann, Daniel Stroud, Christopher E. Sleet, Liela Bayeh, Cameron Shokri, Hanzhi Wang, Charles G. Caldwell, Jamie Longgood, John B. MacMillan, Richard K. Bruick, Kevin H. Gardner, and Uttam K. Tambar

Palladium-catalyzed cross-coupling of α-bromocarbonyls and allylic alcohols for the synthesis of α-aryl dicarbonyl compounds

Palladium-catalyzed cross-coupling of α-bromocarbonyls and allylic alcohols for the synthesis of α-aryl dicarbonyl compounds

Yang Yu and Uttam K. Tambar

Bis(phenylsulfonyl)sulfur Diimide

Bis(phenylsulfonyl)sulfur Diimide

Liela Bayeh and Uttam K. Tambar

Regioselective and Diastereoselective Aminoarylation of 1,3-Dienes

Regioselective and Diastereoselective Aminoarylation of 1,3-Dienes

Hongli Bao, Liela Bayeh, and Uttam K. Tambar

Synthesis of (±)-Amathaspiramide F

Synthesis of (±)-Amathaspiramide F

Arash Soheili, Carrie Johnson, and Uttam K. Tambar

Benzothiophene Carboxylate Derivatives as Novel Allosteric Inhibitors of Branched-chain -Ketoacid Dehydrogenase Kinase

Benzothiophene Carboxylate Derivatives as Novel Allosteric Inhibitors of Branched-chain -Ketoacid Dehydrogenase Kinase

Shih-Chia Tso, Wen-Jun Gui, Cheng-Yang Wu, Jacinta L. Chuang, Xiangbing, Qi, Kristen J. Skvorak, Kenneth Dorko, Amy L. Wallace, Lorraine K. Morlock, Brendan H. Lee, Susan M. Hutson, Stephen C. Strom, Noelle S. Williams, Uttam K. Tambar, R. Max Wynn, and David T. Chuang

Allylic Functionalization of Unactivated Olefins with Grignard Reagents

Allylic Functionalization of Unactivated Olefins with Grignard Reagents

Hongli Bao, Liela Bayeh, and Uttam K. Tambar

Specific inhibitors targeting the ATP-binding pocket of pyruvate dehydrogenase kinase

Specific Inhibitors Targeting the ATP-Binding Pocket of Pyruvate Dehydrogenase Kinase

Shih-Chia Tso, Xiangbing Qi, Wen-Jun Gui, Cheng-Yang Wu, Jacinta L. Chuang, Ingrid Wernstedt-Asterholm, Lorraine K. Morlock, Philipp E. Scherer, Noelle S. Williams, Uttam K. Tambar, R. Max Wynn, and David T. Chuang

Brønsted Acid Catalyzed Enantioselective Indole Aza-Claisen Rearrangement Mediated by an Arene CH-O Interaction

Brønsted Acid Catalyzed Enantioselective Indole Aza-Claisen Rearrangement Mediated by an Arene CH-O Interaction

Pradip Maity, Ryan Pemberton, Dean J. Tantillo, and Uttam K. Tambar

Catalytic Enantioselective Allylic Amination of Olefins for the Synthesis of ent-Sitagliptin

Catalytic Enantioselective Allylic Amination of Olefins for the Synthesis of ent-Sitagliptin

Hongli Bao, Liela Bayeh, and Uttam K. Tambar

Synthesis of (±)-Amathaspiramide F and Discovery of an Unusual Stereocontrolling Element for the [2,3]-Stevens Rearrangement

Synthesis of (±)-Amathaspiramide F and Discovery of an Unusual Stereocontrolling Element for the [2,3]-Stevens Rearrangement

Arash Soheili and Uttam K. Tambar

Stereoselective Synthesis of Functionalized Cyclic Amino Acid Derivatives via a [2,3]-Stevens Rearrangement and Ring-Closing Metathesis

Stereoselective Synthesis of Functionalized Cyclic Amino Acid Derivatives via a [2,3]-Stevens Rearrangement and Ring-Closing Metathesis

Aaron Nash, Arash Soheili, and Uttam K. Tambar

Structure-based Design and Mechanisms of Allosteric Inhibitors for Mitochondrial Branched-chain -Ketoacid Dehydrogenase Kinase

Structure-based Design and Mechanisms of Allosteric Inhibitors for Mitochondrial Branched-chain -Ketoacid Dehydrogenase Kinase

Shih-Chia Tso, Xiangbing Qi, Wen-Jun Gui, Jacinta L. Chuang, Lorraine K. Morlock, Amy L. Wallace, Kamran Ahmed, Sunil Laxman, Philippe M. Campeau, Brendan H. Lee, Susan M. Hutson, Benjamin P. Tu, Noelle S. Williams, Uttam K. Tambar, R. Max Wynn, and David T. Chuang

Development of Inhibitors of the PAS-B Domain of the HIF-2a Transcription Factor

Development of Inhibitors of the PAS-B Domain of the HIF-2a Transcription Factor

Jamie L. Rogers, Liela Bayeh, Thomas H. Scheuermann, Jamie Longgood, Chuck Caldwell, Jason Key, Jacinth Naidoo, Lisa Melito, Cameron Shokri, Doug E. Frantz, Richard K. Bruick, Kevin H. Gardner, John B. MacMillan, and Uttam K. Tambar

Allosteric Inhibition of Hypoxia Inducible Factor-2 with Small Molecules

Allosteric Inhibition of Hypoxia Inducible Factor-2 with Small Molecules

Thomas H. Scheuermann, Qiming Li, He-Wen Ma, Jason Key, Lei Zhang, Rui Chen, Joseph A. Garcia, Jacinth Naidoo, Jamie Longgood, Douglas E. Frantz, Uttam K. Tambar, Kevin H. Gardner, and Richard K. Bruick

Catalytic Enantioselective Allylic Amination of Unactivated Terminal Olefins via an Ene Reaction/[2,3]-Rearrangement

Catalytic Enantioselective Allylic Amination of Unactivated Terminal Olefins via an Ene Reaction/[2,3]-Rearrangement

Hongli Bao and Uttam K. Tambar

Tandem Catalytic Allylic Amination and [2,3]-Stevens Rearrangement of Tertiary Amines

Tandem Catalytic Allylic Amination and [2,3]-Stevens Rearrangement of Tertiary Amines

Arash Soheili and Uttam K. Tambar

Stereoselective [2,3]-Rearrangements of Amine N-Oxides

Stereoselective [2,3]-Rearrangements of Amine N-Oxides

Hongli Bao, Xiangbing Qi, and Uttam K. Tambar

Total Synthesis of (±)-Trigonoliimine C via Oxidative Rearrangement of an Unsymmetrical Bis-Tryptamine

Total Synthesis of (±)-Trigonoliimine C via Oxidative Rearrangement of an Unsymmetrical Bis-Tryptamine

Xiangbing Qi, Hongli Bao, and Uttam K. Tambar

Catalytic Enantioselective [2,3]-Rearrangements of Amine N-Oxides

Catalytic Enantioselective [2,3]-Rearrangements of Amine N-Oxides

Hongli Bao, Xiangbing Qi, and Uttam K. Tambar

PhD and Postdoctoral Publications

Highly Enantioselective Formal Aza-Diels–Alder Reactions with Acylhydrazones and Danishefsky's Diene Promoted by a Silicon Lewis Acid

Sharon K. Lee, Uttam K. Tambar, Nicholas R. Perl, and James L. Leighton

Tetrahedron 2010, 66, 4769-4774

The Direct Acyl-Alkylation of Arynes. Preparation of Methyl 2-(2-Acetylphenyl)Acetate

David C. Ebner, Uttam K. Tambar, and Brian M. Stoltz

Org. Synth. 2009, 86, 161-171

Pd-Catalyzed Enantioselective Aerobic Oxidation of Secondary Alcohols: Applications to the Total Synthesis of Alkaloids

Shyam Krishnan, Jeffrey T. Bagdanoff, David C. Ebner, Yeeman K. Ramtohul, Uttam K. Tambar, and Brian M. Stoltz

J. Am. Chem. Soc. 2008, 130, 13745-13754

The Development and Scope of a Versatile Tandem Stille-Oxa-Electrocyclization Reaction

Uttam K. Tambar, Taichi Kano, John F. Zepernick and Brian M. Stoltz

Tetrahedron Lett. 2007, 48, 345-350

Convergent and Diastereoselective Synthesis of the Polycyclic Pyran Core of Saudin

Uttam K. Tambar, Taichi Kano, John F. Zepernick, and Brian M. Stoltz

J. Org. Chem. 2006, 71, 8357-8364

A Convergent and Enantioselective Synthesis of (+)-Amurensinine via Selective C-H and C-C Bond Insertion Reactions

Uttam K. Tambar, David C. Ebner, and Brian M. Stoltz

J. Am. Chem. Soc. 2006, 128, 11752-11753

Progress toward the Total Synthesis of Saudin: Development of a Tandem Stille-Oxa-Electrocyclization Reaction

Uttam K. Tambar, Taichi Kano, and Brian M. Stoltz

Org. Lett. 2005, 7, 2413-2416